采用超级电容的独立光伏系统分析与设计
充电控制策略及超级电容参数
解决方案:
独立式光伏路灯系统简单计算
使用超级电容的太阳能LED路灯系统的组件建模
1 引言
太阳能路灯系统在道路照明中有很高的价值。使用超级电容的太阳能LED路灯系统属于复合 能源系统,该系统中的电能传输需要在线控制以保证系统的正常运行。图1为超级电容的太阳能LED路灯的系统结构。控制器作为核心部件管理着各个部件之间的 能量传输。为保证蓄电池充放电可靠、高效,同时满足照明需求,控制器需要对系统中的电能进行管理。在弱太阳光照的情况下,由于光伏电池产生的能量不稳定, 不能有效的对蓄电池充电。
若选择合适的控制方式,使光伏电池产生的能量先蓄积在超级电容里,到适当的时候再将存储的能量通过脉冲或恒流的方式向蓄电池充电,可以有效的提高系统的太阳能利用率。所以合适有效的控制策略是该控制器的关键技术。
本文在独立式光伏路灯系统简单计算方法的基础上,以提高在弱太阳光光照情况下发电效率为 目标,提出一种采用了超级电容的独立光伏系统设计方法。本文通过对使用超级电容的太阳能LED路灯系统各部分组件进行建模,在有充放电控制器控制的情况 下,使用计算机仿真对比在各种太阳光照情况下系统的发电情况,其验证结果向使用超级电容的太阳能LED路灯的配置设计提供理论依据。
2 系统分析与设计
使用超级电容的太阳能LED路灯系统由光伏电池阵列、光伏控制器、超级电容、充电控制 器、蓄电池、电流变换器、LED负载组成,连接结构如图1所示。超级电容跨接在直流母线和地线之间,用于保持直流母线的电压,并缓冲光伏电池提供的过大能 量,在适当的时候放电以满足蓄电池的充电需要和负载的供电需要。
2.1 光伏电池特性分析
光伏电池等效电路模型如图2所示。
图2中Iph为光生电流,IVD为流过二极管的电流,VD为Rsh的端电压,Rsh和Rs为等效的并联电阻和串联电阻,V、Is分别为光伏电池元的输出电压和电流。根据此等效模型可得到光伏电池的数学模型,并根据数学模型得到光伏电池特性曲线,如下图3所示。
图3a为光伏电池在不同光照下的电流-电压(I-V)曲线,图3b为光伏电池在不同光照 下功率-电压(P-V)曲线。如图3.b所示,在一定的光照情况和节点温度下,光伏电池有唯一的发电最大功率点,因此需要光伏控制器进行最大功率跟踪 (MPPT)控制以获得最大发电效率。
2.2 光伏控制器的分析
光伏控制器在设计时通常采用boost升压电路,以产生比光伏电池板两端更高的电压,以 利于向蓄电池充电;但当光照不足时,若要使蓄电池能够继续充电,该控制电路会导致光伏电池的工作点脱离最大功率输出点,但这样又会使得光伏路灯系统的发电 效率下降。因此设计控制系统时需预设弱光段的阈值,以实现在弱光下能通过超级电容缓冲来保证蓄电池正常充电的目的。
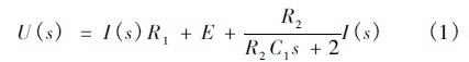
图4为蓄电池等效电路模型,根据此图可以看出蓄电池存在最低充电电压,从而使升压电路的输出也存在一个最低电压。由图4可得蓄电池小信号数学表达式为:
稳态时,变换器充电电压为:
式中(R1+R2)为蓄电池内阻,R2为常数,R2随不同的充电电流和电荷容量变化而变化。
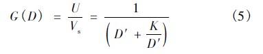
boost工作电路如图5所示,根据电感L伏秒平衡和电容C充放电能量守恒有:
其中Vs为输入电源电压,D为PWM波占空比D+D′=1,icharge为蓄电池充电电流,U为充电电压,Rs为变换器在负载端等效电阻,T为周期时间。
由式(3)(4)可得:
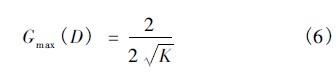
式中D+D′=1,K=Rs/(R1+R2);可得当达到最大值,此时最大增益为:
由于该电路为升压电路,G最小值为1,可得K取值必须小于0.25。在系统设计时根据蓄电池参数,由式(6)算出,能对蓄电池充电的升压电路最小输入电压为:
式(7)中,Voc为蓄电池最低充电电压。
若直接采用光伏电池对蓄电池充电,则当光照较弱时,为了追踪最大功率,在存在其他干扰因 素的同时其输出电压会不稳定,导致光伏电池在充电时难以保持在Vzmin上,最后导致系统在该光照范围内不能对蓄电池正常充电。如图6中两曲线分别为晴、 阴两种情况下100W光伏电池可产生的最大功率曲线;阴天的时候,光伏电池在最大功率跟踪情况下,输出功率在较低功率B、C区间内抖动,造成对蓄电池充电 不可控。本文通过采用超级电容,把这部分不稳定的输出能量蓄积起来,再到满足一定的电压条件时,通过升压电路把超级电容中的能量释放到蓄电池。这种采用超 级电容的方式可以提高在弱太阳光照下的发电效率。
3 充电控制策略及超级电容参数
3.1 充电控制策略
图7为蓄电池充电控制策略。该策略在低光照情况下采用超级电容电压的滞环比较控制策略, 以超级电容两端电压作为反馈采样信号。若超级电容两端电压低于设定下限值Voff,则停止向蓄电池充电,光伏控制器采用最大功率跟踪对超级电容充电;当超 级电容电压充到足够大为Von时(Von>Voff),以蓄电池的三段式10小时充电法向蓄电池充电;若此时持续低光照,则当超级电容电压重新下降 到下限值Voff时,再次停止向蓄电池充电,如此循环;在足够光照情况下,当超级电容的电压超过Von时,系统对蓄电池以三段式10小时充电法充电,同时 超级电容电压也会继续上升,这时控制器保持超级电容的电压值不超过新的上限值Vmax。
3.2 充电参数计算
独立式光伏系统在设计时,需要考虑该系统应用场所的日照条件、电气设备等。然后根据负载所消耗能量决定光伏电池容量和蓄电池容量。
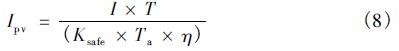
在独立式太阳能路灯系统中,光伏电池的容量选择如下式(8):
蓄电池的容量选择如下式(9):
式(8)(9)中I为负载所需电流,T为负载每日工作小时数。Ta为平均日照时间。t为连续雨天数,Ksafe为安全系数,Ksoc为蓄电池容 许放电深度,η为变换器效率。按三段式10小时充电法,在恒流充电阶段,充电电流icharge为0.1Cbattery。则恒流充电阶段,充电功率为:
按光伏电池容量可得其满功率工作时输出功率为:
由上,采用超级电容电压滞环比较控制法,超级电容向蓄电池充电一次最短时间为td,根据能量守恒有:
在本系统中光伏控制器和采用boost电路。由式(7)可得根据光伏电池的弱光下最大功率点工作电压计算Von上限。根据蓄电池浮充电压及超级电容的漏电流确定Voff。最后可得超级电容的容量:
4 仿真实验
仿真实验示例采用60WLED路灯,按以下参数设计:路灯连续工作时间为8小时,平均日 照时间为4小时,安全系数为0.76,光伏控制器效率为0.85,连续雨天数为4日,蓄电池允许放电深度为0.5,充电控制器效率为0.85。若选用 48V蓄电池,根据式(9)计算得蓄电池容量为:157Ah。光伏电池发电容量为:188W。选用开路电压为17V的光伏电池。由前面的推导选择 Von=40V,Voff=30V。由式(13)计算,为保证每蓄电池充电一次持续时间至少为60s,超级电容值需大于0.127F。
根据以上数据在仿真模型中建立simulink/matlab模型,模型按照图1所示的 系统结构建立,采用带有最大功率跟踪的光伏电池控制器,把光伏电池上的电能传输到直接并联超级电容的直流母线上。同时电能通过蓄电池充放电控制器给蓄电池 充电。如图8所示,该系统的simulink模型主要有PV模块、LED模块、直流母线模块、蓄电池模块、超级电容积分模块、蓄电池充电控制器模块。
如图8,把超级电容值设置为0,则可以仿真直接boost电路充电方式不采用超级电容系 统,仿真结果如图9所示,图9(a)、图9(b)分别模拟阴天和晴天光照情况下蓄电池充电电流、及蓄电池电压。在阴天弱光照情况下,系统发电能力受到系统 自身损耗影响很大,其启动所需要的光照强度高。
在晴天较强光照情况下,系统能在高工作效率状态下工作。
采用超级电容系统的仿真结果如图10所示图10(a)、图10(b)分别模拟阴天和晴天光照情况下超级电容电压、蓄电池充电电流、及蓄电池电压。
在阴天弱光照情况下,超级电容充放电次数较少,蓄电池电压呈阶梯状上升。在晴天强光照下,超级电容充放电次数多。
对比两种系统结构,从蓄电池最终电压可以看出,弱光照情况下,使用超级电容系统的光伏电 池的利用率上升,蓄电池电压变化值约为不采用超级电容的蓄电池电压变化值的120%,即在弱光照下,系统的光伏发电效率提高了大约20%。而在晴天,有足 够光照的情况下,虽然在早晚光照较弱时,其发电能力得到提高,但由于多引入一级变换器,在较高功率下,采用超级电容没有对系统的发电效率有明显的提高。由 上,采用超级电容的独立光伏系统在光照不足的地区能对发电能力有明显的改善。
5 结论
本文在独立式光伏系统简单计算方法的基础上,提出采用了超级电容的独立光伏系统的设计算法。
通过对使用超级电容的太阳能LED路灯系统各部分组件进行建模,在采用充放电控制器控制情况下,使用计算机仿真对比在各种太阳光照情况下系统的发电情况。仿真结果证明,使用该方法可以有效提高在弱太阳光照情况下的光伏系统发电效率,从而向使用超级电容的太阳能LED路灯的配置设计提供了理论依据。


















沪公网安备31012002005935号